합성곱 층(Convolution Layer) 이란?
합성곱 층은 합성곱 신경망(CNNs) 의 기본 구성 요소입니다. 주로 이미지 데이터를 처리하는 데 사용됩니다.
완전 연결층(fully connected layer)처럼 입력의 모든 픽셀을 모든 뉴런에 연결하는 대신, 합성곱 층은 작은 필터(커널)를 이미지 위에 슬라이딩하며 엣지(edge), 텍스처(texture), 패턴(pattern)과 같은 특성(features)을 추출합니다.
주요 용어들
- 입력(Input): 이미지 또는 특징맵 (예, 6X6 픽셀).
- 커널(Kernel): 이미지 위를 이동하는 작은 행렬 (예, 3X3 or 5X5).
- 스트라이드(Stride): 필터가 한 번에 이동하는 단계 수.
- 패딩(Padding): 출력 크기를 조절하기 위해 이미지 주위에 추가하는 여분의 픽셀.
- 피처맵(Feature Map): 합성곱 연산의 결과.
합성곱이 어떻게 작동하는지(예시와 함께)
패딩 없이, 스트라이드가 1인 예시를 통해 알아봅시다.
1. 입력: 6x6 Matrix
Input:
[ [9, 4, 1, 6, 5],
[1, 1, 1, 0, 2],
[1, 2, 1, 1, 3],
[2, 1, 0, 3, 0],
[1, 4, 2, 5, 6] ]
2. 커널: 3x3
Kernel:
[ [1, 2, 0],
[0, 1, 4],
[1, 0, 1] ]
3. 합성곱 연산 (3X3)
각 위치에서:
- 겹치는 숫자들을 곱한다.
- 그리고 그 결과들을 더한다.
왼쪽 위 모서리 예제 (처음 3X3 영역):
입력 조각:
[ [9, 1, 1],
[1, 1, 1],
[1, 2, 1] ]
계산:
9*1 + 1*2 + 1*0 +
1*0 + 1*1 + 1*4 +
1*1 + 2*0 + 1*1
= 9 + 2 + 0 + 0 + 1 + 4 + 1 + 0 + 1 = 24
**이 필터를 전체 입력에 걸쳐 슬라이딩하여 출력 특징 맵을 생성합니다.
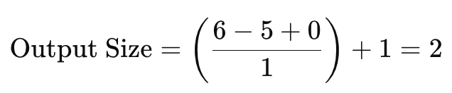
출력 크기 수식

예제: 5x5 커널
동일 6x6 입력에 5x5 커널를 패딩없이 할 경우:

커널을 적용할 수 있는 위치는 2x2만큼입니다.
왜 완전 연결층 (FC layer) 대신 합성곱 층 (Convolution layer) ?
1. 파라미터 효율성
32x32 RGB image (즉, 32X32X3 = 3072 입력) 이미지가 주어질 때.
- 완전 연결층 (FC):
모든 픽셀과 모든 뉴런이 연결됨.
100개의 뉴런이 있을 경우: 파라미터=3072X100=307,200
- 합성곱 층 (3x3, 3 입력 채널, 32 필터):
$필터\ 당\ 파라미터=3\times3\times3=27\ 전체=27\times32=864$
** 매우 적은 파라미터들 (307,200 → 864)!
2. 공간 계층
컨볼루션은 공간 정보를 유지합니다 (예: 인접한 픽셀은 관련이 있습니다), 반면 완전 연결층은 모든 것을 평탄화합니다..
합성곱 층의 파라미터 수는 어떻게 계산하는가?
각 필터에 대해서:
Parameters = $K \times K \times C_{in}$ + $1 \quad (\text{+1 for bias})$
다음 전체 필터들 수로 곱한다:
예제:
- 입력 채널 = 3 (RGB 이미지)
- 커널 크기 = 5x5
- 필터 수 = 64
{전체 파라미터 수} = (5 X 5 X 3 + 1) X 64 = (75 + 1) X 64 = 76 X 64 = 4864
MACs 은 어떻게 계산 하는가?
각 커널 적용 =
$K \times K \times C_{\text{in}} \text{ MACs per position}$
다음 두 항목의 곱:
- 아웃풋 위치의 수 $(H \times W)$
- 필터들 수
예제:
- 입력: 32x32x3
- 커널: 3x3
- 필터: 16
- 출력: 30x30 (패딩없음)
$\text{MACs} = 3 \times 3 \times 3 \times 30 \times 30 \times 16 = 388,800$
참고문헌
- Fuhg, J.N., Karmarkar, A., Kadeethum, T. et al. Deep convolutional Ritz method: parametric PDE surrogates without labeled data. Appl. Math. Mech.-Engl. Ed. 44 , 1151–1174 (2023). https://doi.org/10.1007/s10483-023-2992-6.
'AI' 카테고리의 다른 글
| 정보 이론과 정보 병목 완벽 가이드 (0) | 2025.04.21 |
|---|---|
| 딥러닝 활성화 함수 (Activation Functions) 완벽 가이드 (0) | 2025.04.21 |
| 딥러닝에서 특성 정규화 (Feature Normalization) 기법의 중요성 (0) | 2025.04.21 |
| 기울기 소실 (Vanishing Gradient) 문제 (0) | 2025.04.20 |
| 딥러닝 모델 학습 시 Overfitting 대 Underfitting (0) | 2025.04.20 |